Vlada opstruira tumačenje prava na prosvjed, boji se neutralnog tumačenja?
Prema neslužbenim informacijama, Povjerenstvo za tumačenje TKU-a nije uspjelo protumačiti odredbu o slobodnim danima za sindikalne aktivnosti zbog potpunog razilaženja sindikalne i Vladine strane oko merituma stvari
U utorak se sastalo Povjerenstvo za tumačenje TKU-a kako bi raspravljalo o našem zahtjevu za tumačenje članka 43., stavka 1., točke 9. TKU-a kojom se reguliraju slobodni dani za sindikalne aktivnosti (vidi OVDJE).
Prema neslužbenim informacijama kojima raspolažemo, Povjerenstvo nije uspjelo donijeti tumačenje predmetne odredbe, jer je u tom šestočlanom tijelu došlo do ravnomjerne podjele između sindikalnih predstavnika i predstavnika Vlade RH oko toga je li prosvjed sindikalna aktivnost ili ne, pri čemu je Vladina strana očekivano zauzela stav kako prosvjed to nije. Prema proceduri predviđenoj Temeljnim kolektivnim ugovorom, predmetni članak bi u slučaju ovakvog razilaženja trebao ići na neutralnu arbitražu, stručnjaku čije je tumačenje Povjerenstvo dužno prihvatiti kao svoje. Kako saznajemo, Vlada je odbila i dogovor o neutralnom stručnjaku jer zna da nije u pravu.
Od Povjerenstva smo zatražili hitno službeno očitovanje o ishodu jučerašnje sjednice.
Neovisno o ovim prozirnim i očajničkim manevrima vlasti, nema nikakve dvojbe o tome da je prosvjed sindikalna aktivnost i da je pokriven odredbom TKU-a o plaćenim danima. Sve relevantno o mišljenju Vlade o ovoj temi rekli su pravni stručnjaci na okruglom stolu koji smo nedavno organizirali, a čiji isječak možete vidjeti u nastavku:
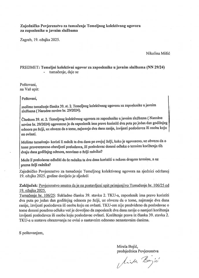
Dobra je vijest da je nakon sjednice otpremljeno Tumačenje kojim je, nakon više upita zaposlenika, protumačeno da poslodavac ne donosi odluku o pravu radnika na korištenje godišnjeg odmora dva puta po jedan dan godišnje, nego je dovoljno da radnik pravovremeno obavijesti poslodavca dva dana ranije. Tumačenje pogledajte OVDJE.
Riječ je tumačenju odredbe članka 39. st. 2. TKU-a koja propisuje da zaposlenik ima pravo koristiti dva puta po jedan dan godišnjeg odmora po želji, uz obvezu da o tome, najmanje dva dana ranije, izvijesti poslodavca ili osobu koju on ovlasti.
Stoga zaposlenici kojima poslodavac ne odobri korištenje plaćenog dopusta za sudjelovanje na prosvjedu, uz uvjet da su o svojoj namjeri pravovremeno izvijestili poslodavca ili od njega ovlaštenu osobu te da nisu isto pravo već konzumirali dva puta u ovoj godini, imaju pravo u petak 9. svibnja koristiti svoje pravo na godišnji odmor temeljem gore spomenute odrede, bez potrebe da poslodavac o tome donese posebnu odluku.
Ključne riječi:
je li prosvjed sindikalna aktivnost, povjerenstvo za tumačenje TKU-a, prosvjed




